门户-光伏|太阳能|PV|技术|质量|认证|标准 - 光伏测试网
用户名: 密 码:    找回密码 立即注册 | 找回密码
QQ登录
中国国际促进会钙钛矿产业分会二零二五年度成员大会; 2025年度光伏产业技术创新大会暨光伏领跑者创新论坛颁奖典礼
光伏测试网 测试新闻 光伏新闻 查看正文

低压电气和低压电器技术—知识讲堂

2016-5-31 10:18| 发布者: Demy的远方| 查看: 3190| 评论: 0|来自: 中国电圈子传媒中心

摘要: 对于低压开关电器主触头的并联,如果我们只在常规的额定运行电流范围内来讨论,我们会发现讨论的重点有两个:第一个是载流量,这与开关的温升相关;第二个是开关的分断能力,这与开关的灭弧能力相关。注意:这里所讨 ...
对于低压开关电器主触头的并联,如果我们只在常规的额定运行电流范围内来讨论,我们会发现讨论的重点有两个:第一个是载流量,这与开关的温升相关;第二个是开关的分断能力,这与开关的灭弧能力相关。
注意:这里所讨论的是两只不同开关电器实体对象的触头,而不是同一只开关电器的两个同类触头。对于同一只开关同类触头之间的并联和串联,我将在本文的稍后部分专门说明。
以下我们就开始分析:
(1)首先讨论温升
题图是一款框架断路器ACB。图中我们看到了主触头,还有其它相关的附件。
显见,若拿这款开关来作为我们的讨论对象,麻烦得很,而且很多参数我们并不知道。为此,我把开关作了一个简化,类似交流接触器,如下:
当开关流过额定电流时,最重要的参数是温升,它决定了开关电器主触头的接触性能、氧化状态、电寿命和开关电器的其它综合性能。为此,我们把上图配上一些实测数据,来计算它的温升状况。
什么叫做温升呢?它是指开关电器的运行温度与环境温度的差值。
对于环境温度,在GB14048.1-2012《低压开关设备和控制设备 第1部分:总则》中,有如下说明:
可见,开关电器的环境温度为35摄氏度,这是我们计算涉及到的环境温度数值来源。
那么这个例子如何计算呢?因为我们只需要知道计算的原理,以及计算结果,并不需要了解具体的计算过程。因此我就简单地介绍一下吧:
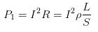
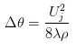
接触电压为已知,对于每个触头,显然接触电压只有一半。在知道了触点的尺寸和材质的情况下,根据(接触电压-触点温度)理论,计算表达式如下:
这里的Uj就是接触电压,当然我们要除以2。分母的值可以从Wiede-Mann-Franz定律查表求出。这样我们就能求得触头的温升。
接着来计算导电杆的发热,因为:
这里的电流I用给定值,电阻率为100摄氏度时的值,长度L为已知,截面S亦为已知,这样我们就能计算出导电杆1和导电杆2的发热功率。
我们再用牛顿散热公式计算散热功率:
这里的散热系数为已知,导电杆的表面积A亦为已知。因为发热等于散热,两式联立后得到导电杆的温升。
有意思的是:发热公式中有导电杆长度L,而散热公式的表面积A中同样也有导电杆长度,两者分别位于等号的左右侧,可以略去。
最后,我们就可以得到在某电流I下的最高温升了。再加上35度的环境温度,就可以得到触头处的最高温升。当电流为400A时,导电杆截面为7X25mm,散热系数为Kt=7,触头接触电压为0.01V时,计算表明触头温升大约为62K。
但我们从接触电阻的温升公式可以看出,它与电流的关系不大。
其实,电流越小,接触电阻反而越大。反过来,电流越大,接触电阻越小。当电流达到触头熔化值后,接触电阻就接近于零了。
对于铜来说,它的软化电压是0.12V,熔化电压是0.43V;对于银来说,软化电压是0.09V,熔化电压是0.37V。
由于开关电器是整体使用的,因此IEC标准和国家标准都未对触头的温升进行规定。尽管如此,由于开关电器要进入市场必须要做型式试验,因此在型式试验时会对触头温升给出相当详尽的规定。
对于开关电器导电杆的接线端子,IEC和国家标准倒是给出了规定。我们来看GB 14048.1-2012的规定:
从发热表达式中我们看到,发热功率与电流的平方成正比,因此当电流减半后,发热功率只有原来的1/4。电流小了,整个开关触头系统的温升是会降低的。
(2)再来讨论开关电器的并联
看下图:
图中的有如下关系:I=I1+I2。
如果总电流I小于或者等于开关电器的额定电流Ie,那么当K1和K2并联后,因为温升小于最大值,开关电器当然没有问题;
如果总电流I小于或者等于开关电器额定电流的两倍,即I=2Ie,这时的情况就复杂了:如果K1和K2的接触电阻完全一致,这时也许能保证I1=I2=Ie。但两者的接触电阻相等是不可能的,因此必定会出现其中之1大于额定电流的情况。
在这种情况下,会有什么问题呢?
开关电器的工作制分为长期工作制,短期工作制和反复短时周期工作制等等。我们来看标准:

额定电流是按8h工作制来确定的,它的温升不会也不能超过最大极限值。
注意看短时工作制。由于短时工作制下开关电器能彻底地降温,因此若开关电器工作在短时工作制下,是可以加大容量的。在这种情况下,允许短暂地让其中某一个开关电器的运行电流超过额定电流。
对于两个支路(或者多个支路)的电流与总电流的关系,在GB7251.1-2005《低压成套开关设备和控制设备 第1部分:总则》中被定义为分散系数。如下:
此表在GB7251.1-2013中以图的形式更新,但主要内容并未改变。
什么意思呢?就是当主开关下方有N条支路,每条支路中有一只某种开关电器,则各支路开关电器的电流总和,不得超过额定分散系数与总和的乘积。
设两条支路中的开关电器均流过额定电流Ie。由于支路有两条,故额定分散系数为0.9,于是总电流不得超过0.9X2XIe=1.8Ie。
结论是:按GB7251.1-2005标准,两条并联支路中的同类开关电器,其运行电流不得超过0.9倍额定电流。
(3)开关电器并联后在开断电路时出现的问题
上图中,设在时刻零之前两台开关电器K1和K2均闭合,并且I=1.8Ie。在时刻零,K1开关打开,于是K2上流过的电流I2=I=1.8Ie。可想而知,这时K2的温升将严重越限,K2将在很短的时间内损毁。即使K2未损毁,也会在下次的开断过程中损毁。
K2损毁后,如果操作者并未发现,将K1和K2再次闭合。因为K2的触头已经不能承载电流,因此1.8Ie的电流将流过K1,使得K1接着损毁。
也许大家会问:开关电器不是允许过载吗?如果过载电流在它允许的范围之内,岂不是就没有问题了吗?
答案是:任何断路器,它的过载保护范围是0.4Ie到1Ie。
下图是ABB的Tmax 塑壳断路器的过载保护范围:
注意看图中的L参数,其电流范围是0.40~1XIn。
超过1倍额定电流时,开关将延迟一段时间后跳闸保护。
开关电器的触头开断过程,其本质是灭弧能力。关于开关电器触头的灭弧能力,请看“低压电气和低压电器技术三——浅谈低压空气开关中的空气和灭弧原理”。
(4)采用开关电器并联以提高线路载流量的结论
采用开关电器并联以提高线路载流量的方法,当总电流在两倍额定电流以下时,接通线路问题不是很大,而开断线路却会引来许多问题。因此不建议采用这种方法。
如果确实要采用开关电器并联以提高线路载流量的方法,则开关电器必须为主动元件,也即各类断路器。一定不能采用被动元件,包括闸刀开关、接触器等等。
(5)同一个开关电器的同类触头并联和串联的问题
利用同一个开关电器的同类触头并联,可用于提高载流量。原因是,各并联触头闭合时间的同步性基本一致,各并联触头开断时间的同步性也基本一致。因此不会带来类似不同开关电器触头并联出现的问题。
同一个开关电器的同类触头串联,常用于提高灭弧能力,将短弧变为长弧,以此实现电弧的降温。
同一个开关电器的同类触头串联,在直流回路中用的特别多。
我们看下图:
这是ABB的Tmax塑壳断路器用于直流回路时其触点的接线方案,从中我们可以看到同一台断路器主触头串联的方法和具体线路。

免责申明:感谢您对TestPV的关注。本网站所发布的信息来源于网友投稿、转载或本站原创,不能保证其准确性和可靠性,仅供参考。如需转载请注明出处及原作者,并请自行承担全部责任。如有版权冲突和其它问题,请及时联系本站进行处理。欢迎广大光伏企业和热爱光伏的人士进行投稿,投稿邮箱:info@testpv.com。

相关阅读

最新评论

 

领跑者创新论坛公众号二维码
回顶部